Tecnica
A che serve tale calcolo? Quali le differenze di
degrado tra edifici e macchinari? Come interviene
il degrado nell’indennizzo basato sul valore a nuovo?
Autori: Giorgio Pennazzato e Giovanni Rebuffi
ASSINEWS 260 – gennaio 2015
Art. 1908 c.c. È ben noto che il fondamento per il calcolo di un danno nelle polizze “danni materiali e diretti” deriva dall’art. 1908 del c.c. che recita: “Nell’accertare il danno non si può attribuire alle cose perite o danneggiate un valore superiore a quello che avevano al momento del sinistro”. L’indennizzo pertanto non può superare il valore della cosa danneggiata al momento del sinistro (principio indennitario). E tale valore deriva dalla valutazione dei costi di ricostruzione o rimpiazzo a nuovo, cui si applica il deprezzamento causato dall’uso, dall’anzianità, dall’obsolescenza, dalla deficienza di manutenzione …
Il modo più semplice per evidenziare detto deprezzamento è offerto dai due grafici riportati:
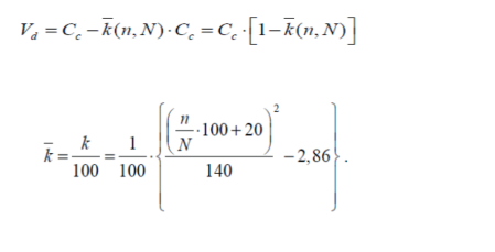
il rettilineo, in colore azzurro, descrive un degrado costante nel tempo (tipico in un edificio), mentre il secondo, in colore rosso, illustra un degrado geometrico (ad es. il caso “automobile”), che considera un rapido calo di valore all’inizio, cui segue una progressiva attenuazione. Riferendoci al primo caso, fabbricati «normali» (quindi non edifici storici, castelli, borghi medioevali o simili altre costruzioni), realizzati con materiali tuttora reperibili ed edificati con tecniche normalmente adottate dalle imprese edili e ipotizzando che venga regolarmente effettuata una manutenzione «normale», si può ragionevolmente calcolare un deprezzamento annuo dall’1,5 al 2,5%, fino ad arrivare ad un deprezzamento massimo del 50-60%, proiettando la vita utile dell’edificio attorno ai 60 anni. Nel caso venga effettuata una manutenzione straordinaria» (*), il capitale assicurato sul fabbricato dovrà essere invece rivalutato. Nel caso di assicurazione di edifici storici, castelli e simili, sarà necessario valutare caso per caso. Una formula di calcolo, spesso utilizzata a tal proposito, è quella riportata a fianco, in cui:
D= deprezzamento del fabbricato, in %
n= età del fabbricato (in anni)
Eu= vita utile del fabbricato (media 60 anni)
(n.b.) La formula è di tipo empirico, cioè ricavata da una somma di casi concreti osservati per lungo tempo.
Esempio: edificio di 15 anni: {[(15:60) x 100 + 20] / 140} – 2,86 = 11,60 %
Questa formulazione per sua natura semplifica ed approssima i fattori che determinano il deprezzamento nei fabbricati tenendo come unica variabile l’età del fabbricato. Per utilizzare questa formula empirica con consapevolezza è necessario ricordare gli altri fattori, oltre alla vetustà, alla base della determinazione del deprezzamento riportati nei più diffusi testi di polizza:
•stato di conservazione: la correlazione con il grado di manutenzione;
• modo di costruzione: la correlazione con la tipologia della costruzione in quanto potrebbe essere stata costruita con una tecnica obsoleta. Il concetto di tecnica costruttiva deve essere abbianata a qualla di costruzione razionale;
• ubicazione: la correllazione con le difficoltà di accesso e ogni altra incidenza in ordine all’utilizzo dell’edificio;
• destinazione d’uso: la correllazione tra le caratteristiche costruttive e la sua destinazione. In altre parole valutare se l’utilizzo del fabbricato sia adeguato a valorizzarlo;
• ogni altra circostanza.
Pertanto il deprezzamento a termini di polizza deve tener conto di tutti questi fattori: deprezzamento = vetustà x conservazione x modo di costruzione x ubicazione x uso x altre circostanze Un esempio applicativo è quello fornito dall’elaborazione del dr. Tullio D’Angelo (“I danni nelle costruzioni” ed. Pirola) che propone una funzione parametrica in cui intervengono come fattori, con un peso massimo del 10%, lo stato di conservazione, il modo di costruzione, l’ubicazione, la destinazione e l’uso. Si riportano qui di seguito gli intervalli dei valori:
• vetustà: da 0,985 a 0,750
• stato di conservazione: 0,90 – 0,95 – 1
• modo di costruzione: 0,9 – 1
• ubicazione: 0,9 – 1
• destinazione e uso: 0,9 – 1
Esempio:
Fabbricato di vent’anni avente uno stato di manutenzione medio, una tecnica costruttiva e delle finiture di tipo carente, mediamente ubicato. La destinazione d’uso mediamente adeguata a valorizzare le caratteristiche costruttive del fabbricato.
Deprezzamento = vetustà x conservazione x modo di costruzione x ubicazione x uso 0,74 = (0,9564) x 0,95 x 0,9 x 0,95 x 0,95
Pari ad un deprezzamento del 26%.
Si riporta qui di seguito una rappresentazione grafica delle due formulazioni sopradescritte. In particolare essendo l’elaborazione del dr. Tullio D’Angelo multiparametrica, in una rappresentazione grafica che ha un’unica variabile, l’elaborazione si presenta come un’area che è stata delimitata da due curve di colore blu di minimo e massimo; sempre in blu è indicata all’interno di tale area una linea mediana. La formulazione empirica, invece, essendo con un’unica variabile è stata rappresentata con una funzione di colore rosso.
Dal confronto grafico dei due metodi proposti emerge come fino all’età di 60 anni i due modelli seguono lo stesso andamento e la formula empirica non è altro che l’insieme dei punti più probabili descritti nella formulazione del dr. Tullio D’Angelo.
Grafico 01 – (ipotizzata vita utile del fabbricato di 100 anni – Perdita di valore del fabbricato espressa in percentuale in funzione dell’età espressa in anni – in blu l’area di minimo e massimo determinata dall’elaborazione dei dr. Tullio D’Angelo e in rosso la funzione di tipo empirico.
La circostanza che oltre i 50-60 anni di età le due formulazioni non seguono più lo stesso andamento mette in evidenza come la decisione di ristrutturare il fabbricato o adeguare gli elementi soggetti ad oblolescenza funzionale pesi sempre di più con il passare degli anni. Infatti un fabbricato è composto da elementi il cui deterioramento è reversibile con un intevento di ristrutturazione (esempio finiture, impianti, ecc), e elementi il cui deterioramento è irreversibile (esempio parti strutturali). Uno studio del Collegio degli Ingegneri e Architetti di Milano ha stimato che in un fabbricato con tipologia edilizia di tipo residenziale la componente reversibile sia pari al 35% del costo di ricostruzione, valore che aumenta per altre tipologie ad esempio nelle strutture alber
ghiere dove aumenta fino al 50%.
Pertanto la formula empirica sopra presentata deve essere trasformata nella sommatoria di tutti gli elementi costruttivi dove singolarmente sia considerata la vita utile residua che tiene conto delle manutenzioni eseguite.
Graficamente viene così rappresentata:
Grafico 02 –Perdita valore in percentuale in funzione dell’età espressa in anni di un fabbricato residenziale nell’ipotesi di esecuzione di opere di restauro al 50° anno.
Nel caso di MACCHINARI, le tabelle di degrado si differenziano a seconda dell’attività, più o meno impegnativa, ad es. in 10 o 5 anni. Nel primo caso ci si potrebbe riferire a macchine statiche, tipo i trasformatori; nel secondo caso a macchine dinamiche tipo i turboalternatori . Non a caso la polizza guasti macchine prevede per i trasformatori un deperimento degli avvolgimenti pari al 5% del loro costo, per ogni anno o sua frazione, col massimo del 50% . Il deperimento dei pacchi lamellari, costituenti il nucleo, è pari al 2% del loro costo, per ogni anno o sua frazione, col massimo del 30%.
Per semplicità non si sono presi in esame sinora gli eventuali miglioramenti che possono arrecare una adeguata manutenzione preventiva o un intervento riparatore che può avere, come si può intuire, anche una certa importanza.
Va comunque detto che la valutazione a stato d’uso dei macchinari presenta molti più problemi di quelli che possono presentare i gabbricati. La determinazione del deprezzamento dei macchinari si deve anche basare sull’analisi tecnica ed economica specifica di quell’azienda, i suoi costi e la vera realtà produttiva di quella macchina. Spesso, inoltre, una macchi- na nuova uguale a quella danneggiata non esi- ste più sul mercato, oppure, se esiste ha quasi sempre migliorie tali da renderla più produttiva, e quindi economicamente più redditizia, di quella precedente (si pensi ai macchinari elettronici). Naturalmente tale maggiore rendimento economico non può essere riconosciuto nell’indennizzo per via del rispetto del principio indennitario, e questo complica ulteriormente il problema.
La differenza sostanziale tra valutazione del macchinario e del fabbricato è che nel primo caso il valore delle cose assicurate coincide con valore di mercato (costo di rimpiazzo), mentre nel secondo ciò non avviene poiché il valore di mercato non coincide mai con il valore delle cose assicurate (costo di ricostruzione escluso il valore dell’area). Pertanto i fattori che determinano il deprezzamento quali tipo, qualità, funzionalità, rendimento, stato di manutenzione vengono influenzati dal mer- cato che altresì tiene conto di altri importanti fattori quali l’obsolescenza tecnologica, l’uscita di produzione del macchinario (che influisce sul costo di gestione), la rispondenza a nuove norme vigenti (esempio antifortunistica ed efficienza energetica), ecc. Per gli enti di non grande diffusione la determinazione deve essere specifica con un’indagne nel mercato, mentre per quelli di maggior diffusione, come ad esempio le macchine operatrici da cantiere, esistono pubblicazioni che riportano i valori di mercato sia a nuovo che allo stato d’uso. Proprio nel caso delle macchine operatrici da cantiere si ha il tipico esempio di deprezzamento geometrico sopracitato che consiste nell’applicazione di una percentuale annuale costante. Tale percentuale, essendo applicata ad un valore sempre più basso nel tempo, riduce il valore allo stato d’uso
del bene con una quota sempre minore. Si riporta qui il caso di un escavatore dove dopo un deprezzamento iniziale specifico, nei restanti anni di vita segue con andamento geometrico (nel caso di un impiego costante). Grafico 03 – pertita del valore in percentuale in funzione dell’età espressa in anni di un escavatore.
Il “valore a nuovo”
Il mercato assicurativo attuale basa, com’è noto, le proprie prestazioni nel campo dei danni materiali e diretti ricorrendo al valore a nuovo dei beni coperti. Tale valutazione potrebbe apparire in contraddizione col principio indennitario. Sul piano dottrinario, la questione va avanti da anni senza aver ancora trovato una soluzione comune. Si riporta, per documentazione, una sentenza che «giustifica» l’adozione di tale clausola nei contratti di assicurazione:
Tribunale Nocera Inferiore, 10 aprile 2002 “È valida, nel contratto di assicurazione contro l’incendio, la clausola “valore a nuovo” che copre la differenza di valore tra il vecchio e il nuovo, giacché tale clausola, pur arrecando all’assicurato un vantaggio eccedente il principio indennitario di cui all’art. 1908 c.c. (c.d. “costo di rimpiazzo”), va intesa nel senso che l’assicurazione copre anche il deperimento naturale del bene assicurato e comunque l’indennizzo è condizionato all’effettivo riacquisto del bene perduto”.
Pertanto la liceità dell’indennizzo basato sul valore a nuovo viene in essere solo dopo che l’assicurato abbia provveduto a ricostruire o rimpiazzare il bene sinistrato.
Ma cos’è propriamente il valore a nuovo?
È il costo di ricostruzione o di rimpiazzo a nuovo di un bene, (ad esempio, di un fabbricato o di un macchinario), comprensivo dei costi di trasporto, montaggio e collaudo, esclusi gli interessi finanziari, le spese di progettazione e gli oneri fiscali in quanto detraibili.
Tra i problemi posti dalla valutazione dei fabbricati e quelli posti per i macchinari vi è una sostanziale equivalenza concettuale, anche se per i macchinari il mercato ha un’influenza determinante. Infatti, se si vuol individuare il valore da assicurare a nuovo occorre ricercare sul mercato del nuovo il valore della macchina: se esiste uguale non sussistono problemi, altrimenti occorre cercarne una equivalente
per rendimento economico. Ma come calcolare il «rendimento economico»? Occorre tener presente essenzialmente:
• il tempo che si presume di utilizzare;
• le unità prodotte nel tempo considerato;
• il costo per unità prodotta.
Normalmente, il concetto di rendimento economico deve intendersi riferito alla capacità produttiva del singolo cespite considerato. Ove questi valori coincidano con quelli della macchina da assicurare non esiste alcun problema. Se i valori non coincidono (in genere, come abbiamo detto, a favore della macchina equivalente perché quasi sempre tecnologicamente più avanzata), il valore indennizzato a nuovo non sarà sufficiente a coprire intera- mente il valore del nuovo possibile acquisto: un motivo in più per mantenere costantemente aggiornati i valori da assicurare. Da quanto detto, risulta chiaro che, come per i fabbricati:
•non valgono i valori di bilancio per deter- minare i valori dei beni da assicurare;
• le clausole di indicizzazione non sempre rispondono alle esigenze di un corretto aggiornamento dei capitali assicurati.
Per i macchinari, infine, espressamente progettati e/o costruiti in economia dall’assicurato, il prezzo attribuito è quello equivalente al costo complessivamente sostenuto dall’assicurato stesso, fino alla messa in funzione di tali beni, e desunto da documentazioni e/o altre indicazioni dallo stesso fornite.
Tali prezzi, maggiorati delle spese di trasporto, montaggio e fiscali determinano il più attendibile valore di “assicurazione a nuovo” per questa tipologia di beni.
Il concetto di equivalente nei casi di enti fuori produzioni non può che aprire la complessa problematica delle migliorie e delle innovazioni. Il sempre più veloce sviluppo tecnologico, le nuove esigenze del mercato, l’adeguamento alle normative porta alla costruzione di nuovi beni che rendono sempre più velocemente obsolete le tecnologie precedentemente impiegate tanto da rendere in alcuni casi il valore pressoché nullo. Data la complessità della materia ci si limita ad evidenziare alcuni spunti generali che spesso si presentano. Se è abbastanza semplice l’individuazione e la valutazione della miglioria di un nuovo macchinario che aumenta la capacità produttiva e/o diminuisce i suoi costi di esercizio o di gestione, sono più complessi i casi in cui l’innovazione tecnologica non si accompagna necessariamente o non trova la sua esclusiva origine nell’aumento della capacità produttiva o riduzione dei costi. Queste problematiche non sono specifiche dei macchinari, ma sono presenti anche per i fabbricati. Proprio i fabbricati portano un utile esempio nei casi dove l’adeguamento tecnologico nella tecnica costruttiva porta non solo ad un miglioramento prestazionale dell’opera, ma ad una sua razionalità costruttiva e una sua economicità complessiva. Ad esempio la costruzione di una nuova muratura in c.a. a sostituzione di un’an- tica muratura a secco inevitabilmente porta ad una miglioria prestazionale, ma non può essere trascurato il fatto che la nuova tecnologia porta ad un minorcosto di costruzione; infatti ricostruendo con il criterio “com’era dov’era”, proprio del principio indennitario, si avrebbe un costo di ricostruzione maggiore. Un altro esempio utile può essere quello del confronto tra il centro di lavoro con controllo numerico analogico e uno con controllo numerico digitale. I due centri di lavoro possono avere la medesima capacità produttiva e la stessa versatilità. Nella fattispecie la nuova tecnologia costituisce un adeguamento tecnico generale che non si concretizza in una diretta miglioria prestazionale. D’altro canto non si può negare che l’adeguamento tecnologico, anche senza un miglioramento prestazionale, di per sé costituisce una miglioria se non altro per il fatto che permette di trovare componenti di ricambio che nel caso di tecnologia obsoleta non sono più disponibili.
Un altro aspetto importante è l’adeguamento normativo che non incide nelle prestazioni, ma consente una maggior sicurezza e protezione. Un impianto elettrico di 40 anni fa, ad esempio, non è paragonabile per innovazioni e migliorie ad uno di oggi costruito a regola d’arte e dotato della dichiarazione di confor- mità completa di tutti i suoi allegati. Dato che le componenti non sono più disponibili, risulta impraticabile la stima dell’ipotetica ricostruzione. Infatti, separare il valore dei materiali da quello d’installazione e deprezzarli separatamente non è corretto in quanto il valore del bene è inscindibile.
Queste migliorie sono di difficile rappresentazione analitica, pertanto la corretta determinazione pur partendo da modellazioni applicate caso per caso, non può prescindere dal buon senso del tecnico.
Indennizzo a “valore a nuovo”
Normalmente il meccanismo della liquidazione del danno con la formula del “valore a nuovo” prevede:
a) dapprima è erogato l’indennizzo calcolato con la formula del «valore a stato d’uso» (valore deprezzato);
b) a ricostruzione avvenuta del fabbricato ed al rimpiazzo del macchinario viene effettuato il pagamento del «supplemento di indennizzo», che sommato all’indennizzo di cui ad a), determina il «valore a nuovo».
Col tempo la clausola di valore a nuovo ha conosciuto molte versioni. Indichiamo qui di seguito le modifiche più significative rispetto alla clausola standard dell’ANIA:
• l’ammontare del danno e della rispettiva in- dennità è calcolata in base al «valore a nuovo» e non in base al «valore a stato d’uso»;
• Il limite del doppio del supplemento di indennità può essere triplicato o eliminato;
• l’obbligo di ricostruzione e rimpiazzo entro 12 mesi può essere aumentato a 24 o 36 mesi;
• il supplemento di indennità può essere effettuato: – in funzione dello stato di avanzamen- to lavori – immediatamente purché garantito da polizza fidejussoria – a partire dalla firma dell’atto di liqui- dazione amichevole anziché solo ad avvenuta ricostruzione o rimpiazzo;
• l’assicurazione “valore a nuovo” vale anche per fabbricati e macchinari di reparti in stato di inattività;
• può non esservi obbligo di ricostruzio- ne o di rimpiazzo secondo il preesistente tipo e genere.
Euler Hermes: Italia al 27° posto mondiale per complessità nel recupero crediti
Euler Hermes, ha recentemente realizzato uno studio intitolato “Il Buono, il Brutto e il Cattivo”, che descrive nel dettaglio il processo di recupero crediti, mettendo a confronto 44 paesi che presentano differenti livelli di complessità. L’analisi si basa su tre fattori che influenzano le dinamiche di recupero: le abitudini di pagamento, le tortuosità legali e i rischi di insolvenza. Fra i paesi che presentano meno difficoltà in tema di recuperi ci sono: Svezia, Germania e Austria; mentre Russia, Emirati Arabi e Arabia Saudita sono ancora indietro nella semplificazione delle procedure per il recupero dei pagamenti. Oltre a determinare un indicatore di complessità per il recupero del credito (Collection Complexity Index), Euler Hermes ha poi definito, in un vademecum per le imprese, “i cinque comandamenti” da seguire per ridurre al minimo il rischio di mancato recupero del credito. Il “Collection Complexity Index” di Euler Hermes è un indicatore numerico da 0 a 100, che consente di suddividere in 4 fasce i Paesi oggetto del monitoraggio e definisce il livello di difficoltà nel recuperare il credito. Nella classifica mondiale l’Italia si è posizionata al 27° posto sulle 44 nazioni analizzate ed è inserita nella stessa fascia di USA, Turchia, Brasile e India, in cui le azioni di recupero del credito hanno un elevato livello di omplessità. L’inserimento dell’Italia nella fascia elevata, con un punteggio di 53, è determinato da un’attenta analisi delle pratiche di pagamento, procedimenti giudiziari e procedure concorsuali. I comportamenti e le abitudini di pagamento delle imprese italiane sono tra i meno virtuosi in Europa, così come la media dei DSO (giorni di incasso di un credito) che è elevata (oltre 100gg) e ben distante dagli standard definiti dalla Direttiva europea. Lente e complesse le procedure giudiziarie, con costi elevati e sentenze dei tribunali che si fanno attendere per anni. Iniziare quindi un’azione legale è quasi sempre irragionevole. Quando il debitore è invece insolvente, i meccanismi di rinegoziazione del debito sono poco utilizzati come pratica, mentre la liquidazione (fallimento) rimane il percorso predefinito, che in genere lascia poche opportunità ai creditori per il recupero del credito.
(*) Sono definiti di «manutenzione straordinaria», ai sensi dell’art. 3 lett. b) del D.P.R. 6 giugno 2001 n. 380 e successive modificazioni e integrazioni, gli interventi edilizi che riguardano le opere e le modifiche necessarie per rinnovare e sostituire parti anche strutturali degli edifici, nonché per realizzare ed integrare i servizi igienico-sanitari e tecnologici, sempre che non alterino i volumi e le superfici delle singole unità immobiliari e non comportino modifiche delle destinazioni di uso.
